Filmmaker I Storyteller
About
Video
Photo & Design
Writing
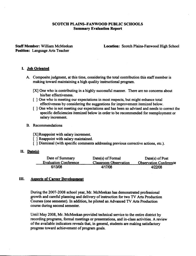
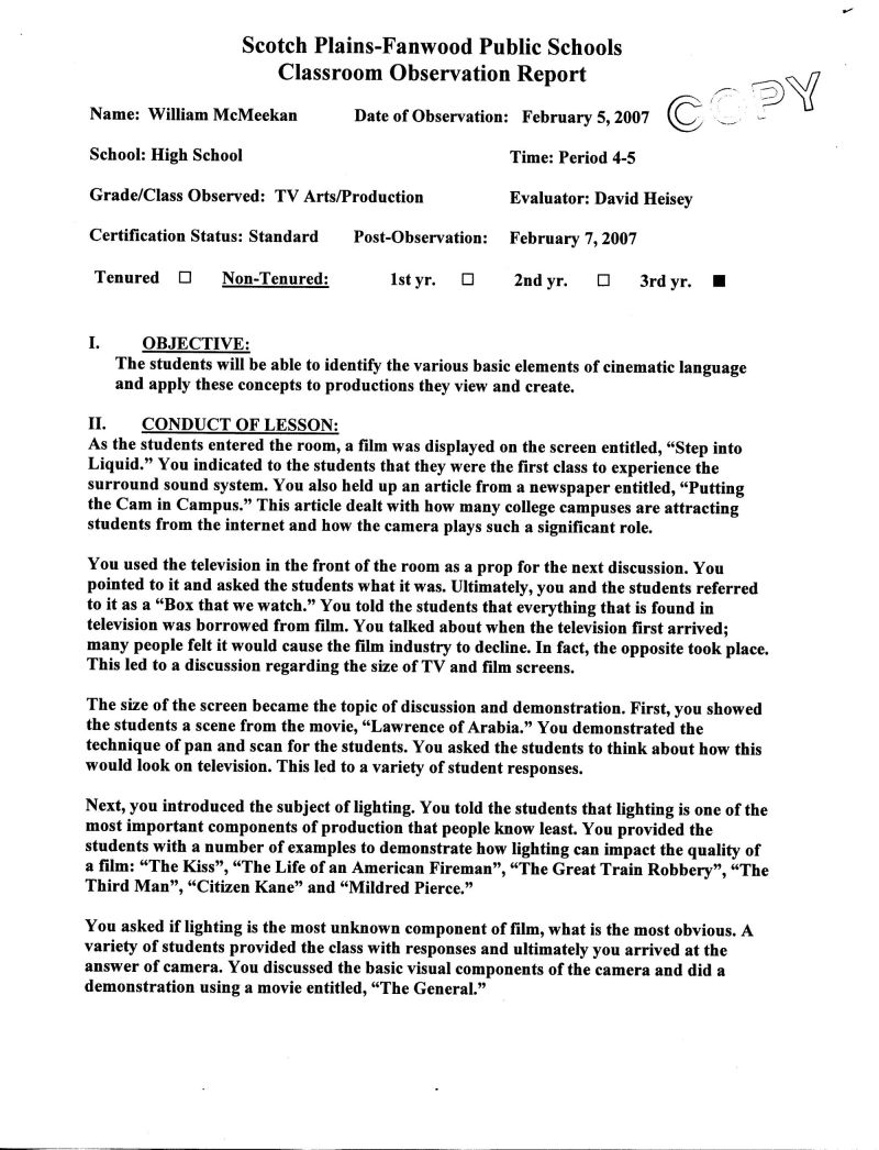
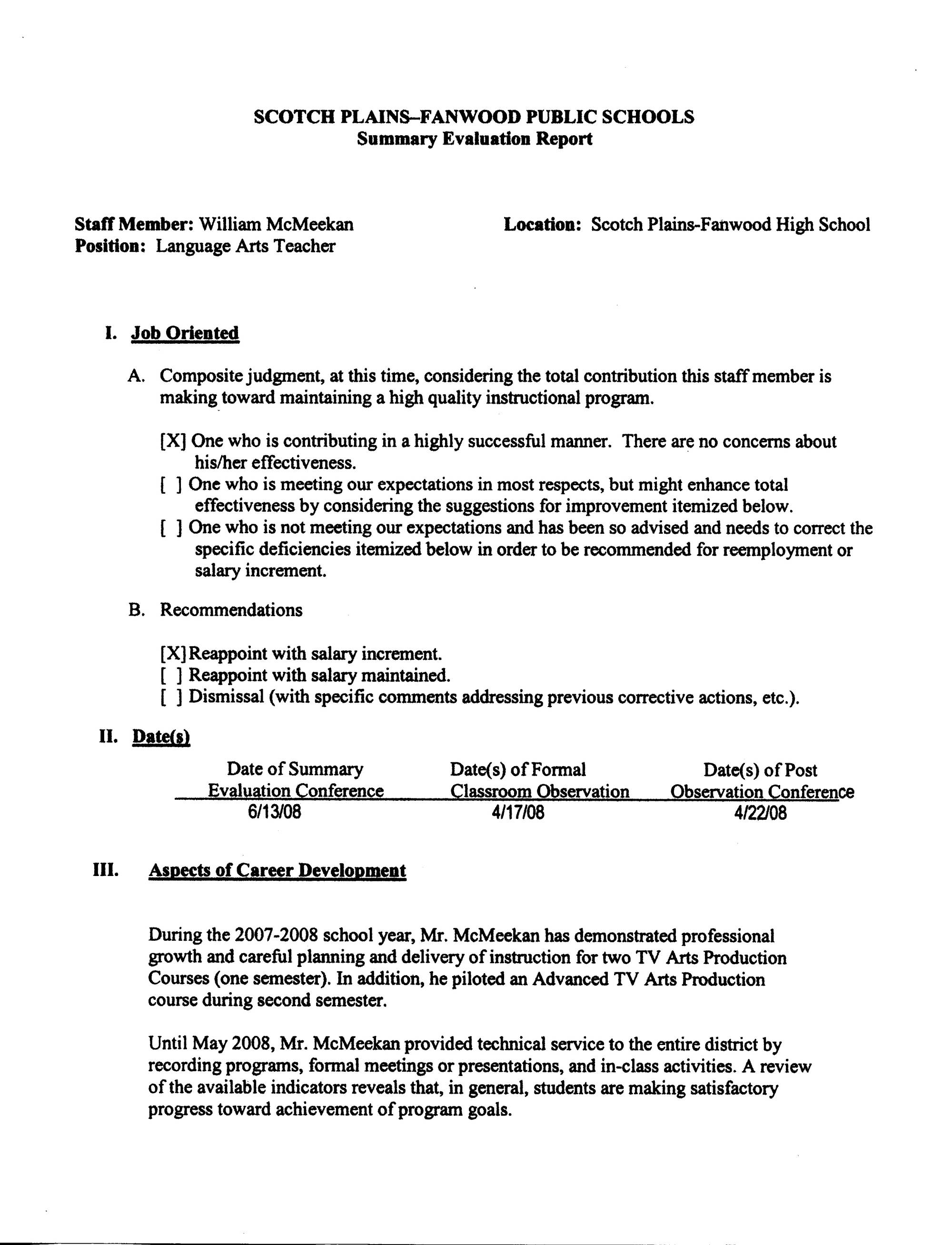
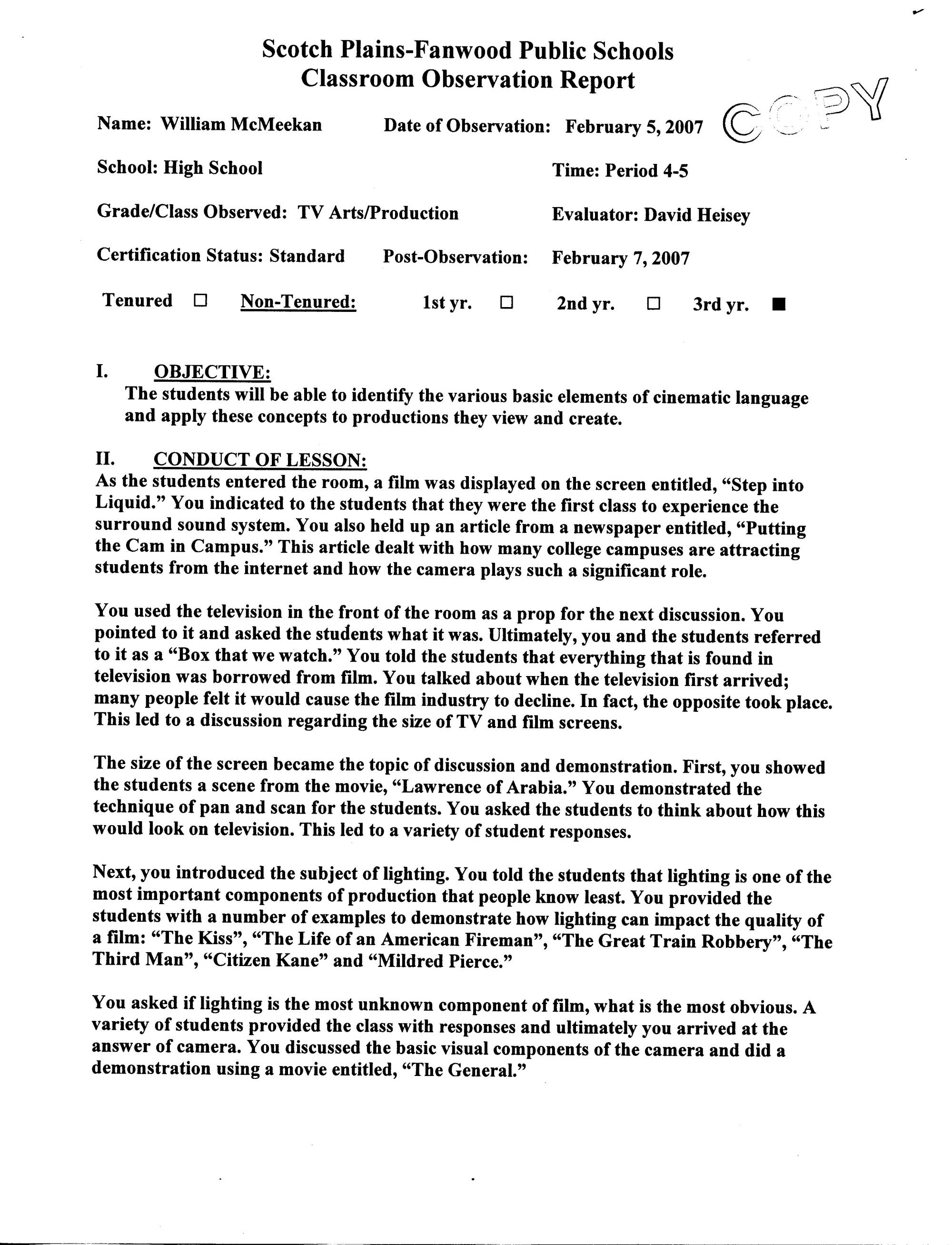
SPFHS Observations / Evaluations
Previous
Next
Close
Resume
Press
Awards
Westfilm
Teaching
Firefighting
Letters
© Copyright 2025 W McMeekan - All Rights Reserved
Made with Mobirise -
Find more